Редуктор
![]() |
![]() |
|
| в палитре | на схеме |
Блок реализует математическую модель элементарного звена механической передачи (одноступенчатого редуктора), в которой учитываются инерционность промежуточных ступеней и явления трения в упругом элементе и на выходном валу звена.

c – коэффициент жёсткости безынерционного упругого элемента, ТР – элемент, характеризующий наличие внутренних сил вязкого трения в упругом элементе, Л – безынерционный элемент, характеризующий люфт в зацеплении, J2 – момент инерции на выходном валу звена, который может включать в себя момент инерции шестерни, момент инерции соединительной муфты и момент инерции объекта.

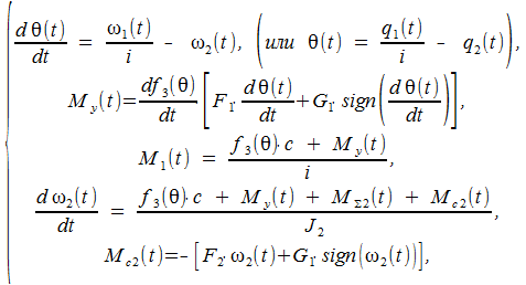
Уравнения динамики блока (1):

где:
θ(t) – угол скручивания упругого элемента;


sign(x(t)) (знак x(t)):

i – передаточное число редуктора;
J2 – момент инерции на выходном валу звена, кг·м2;
a – половина величины люфта звена, рад;
c – коэффициент жёсткости безынерционного упругого элемента;
F1 – коэффициент вязкого трения в упругом элементе, Н·м/(рад/с);
G1 – момент, обусловленный наличием внутренних сил сухого трения в упругом элементе, Н·м;
F2 – коэффициент вязкого трения на выходном валу, Н·м/(рад/с);
G2 – момент сухого трения на выходном валу, Н·м;
q1(t), q2(t) – углы поворота входного и выходного валов, рад;
ω1(t), ω2(t) – угловые скорости входного и выходного валов, рад/с;
My(t) – момент от внутренних сил вязкого и сухого трения в упругом элементе, Н·м;
M1(t) – момент, приложенный к входному валу;
MΣ2(t) – момент, приложенный к выходному валу;
Mc2(t) – момент от сил трения, действующих на выходной вал.
Блок имеет 2 входных и 2 выходных сигнала.
Входные сигналы:
- ω1(t) – угловая скорость входного вала, рад/с;
- MΣ2(t) – момент, приложенный к выходному валу;
Выходные сигналы:
- ω2(t) – угловая скорость выходного вала, рад/с;
- -M1(t) – момент, приложенный к входному валу (взятый с обратным знаком!);
Свойства:
- Передаточное число редуктора i;
- Момент инерции нагрузки J2, кг·м2;
- Половина величины люфта a, рад;
- Коэффициент жёсткости с, Н·м/рад;
- Коэффициент вязкого трения в упругом элементе F1, Н·м/(рад/с);
- Момент сухого трения в упругости G1, Н·м;
- Коэффициент вязкого трения на выходном валу F2, Н·м/(рад/с);
- Момент сухого трения на выходном валу G2, Н·м;
- Начальная угловая скорость выходного вала ω1(0), рад/с;
- Начальный угол скручивания θ(0), рад.

