Двигатель синхронный с успокаивающими обмотками
![]() |
![]() |
|
| в палитре | на схеме |
Блок реализует модель синхронного двигателя с постоянным магнитом с успокаивающими обмотками (ДСС).
Расчетная схема и уравнения динамики ДСС
Расчетная схема ДСС аналогична схеме синхронного двигателя без успокаивающих обмоток.
Уравнения динамики электромагнитных процессов (1):

динамика механического процесса (уравнение равновесия моментов) (2):

выражения для потокосцеплений (3):

исключая из уравнений (3) токи, имеем (4)

где Dα = LαcLαp - L2αm, Dβ = LβcLβp - L2βm.
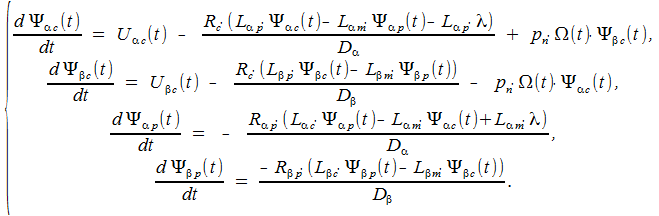
В результате можно записать уравнения динамики электромагнитных процессов в пространстве состояний в форме Коши (5):

Если выразить индуктивности через основные и рассеяния:

то имеем (6) и (7):

Согласно уравнениям (7), переменными состояния ДСС являются потокосцепления Ψαc(t), Ψβc(t), Ψαp(t), Ψβp(t), угловая скорость вращения ротора Ω(t) и угол поворота ротора θ(t). Входными параметрами являются напряжения на обмотках статора и возмущающий момент.
Входные сигналы:
- Напряжение на обмотке статора Uac(t) в неподвижной системе координат, В.
- Напряжение на обмотке статора Ubc(t) в неподвижной системе координат, В.
- Возмущающий момент Mв(t), Н·м.
Выходные сигналы:
- Угол поворота ротора q(t), рад.
- Угловая скорость вращения q'(t), рад/с.
- Электромеханический момент на валу ротора Ев, Н·м.
Дополнительно на третий выход можно выводить ещё два сигнала:
- Ток в обмотке статора iαc(t), А.
- Ток в обмотке статора iβc(t), А.
Свойства:
- Сопротивление α-обмотки статора Rαc, Ом;
- Сопротивление β-обмотки статора Rβc, Ом;
- Индуктивность α-обмотки статора Lαc, Гн;
- Индуктивность β-обмотки статора Lβc, Гн;
- Магнитный поток от постоянного магнита через обмотки статора I, Вб;
- Момент инерции, приведённый к валу ротора J, кг·м2;
- Сопротивление α-обмотки ротора Rαp, Ом;
- Сопротивление β-обмотки ротора Rβp, Ом;
- Индуктивность α-обмотки ротора Lαр, Гн;
- Индуктивность β-обмотки ротора Lβр, Гн;
- Взаимная индуктивность обмоток по оси α Lαm, Гн;
- Взаимная индуктивность обмоток по оси β Lβm, Гн;
- Число полюсов pn, шт.
- Число фаз питающего напряжения pf, шт.
- Начальный угол поворота ротора q(0), рад.
- Начальная частота вращения ротора q'(0), рад/c.
- Начальное потокосцепление Ψαc(t), В·с.
- Начальное потокосцепление Ψβc(t), В·с.
- Начальное потокосцепление Ψαp(t), В·с.
- Начальное потокосцепление Ψβp(t), В·с.
- Дополнительный вывод.

