ЭЦС - RLC - цепь
![]() |
![]() |
|Си| |
| в палитре | на схеме |
Блок реализует модель цепи, состоящих из различных сочетаний линейных R, L, C элементов с их последовательным или параллельным включением. Используется совместно c элементами библиотеки "ЭЦ-Статика (ЭЦС) v2.0".
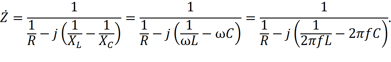
- при последовательном соединении:

- при параллельном соединении:

- j - мнимая единица;
- ω - угловая частота, рад/с;
- f - частота контура переменного тока, Гц;
- R, L, C - заданное в свойствах блока значение активного сопротивления, индуктивности и ёмкости.
Переключение вариантов цепи, реализуемой в модели, осуществляется путем изменения значения свойства "Вид цепи". При этом изменяется состав слагаемых в соответствующих выражениях.

- a - вид блока при значении свойства "Показывать вид цепи", установленном в "Нет";
- б - вид блока при значении свойства "Показывать вид цепи", установленном в "Текст";
- в - вид блока при значении свойства "Показывать вид цепи", установленном в "Мнемосхема".
Дополнительной опцией блока является возможность использования его для расчёта в мгновенных значениях (для информации о расчете по мгновенным значениям см. блок "ЭЦД - RLC-цепь").
Метод расчёта задается свойством "Метод расчета". При значении "Из настроек контейнера" будет использоваться метод, указанный в блоке "ЭЦС - Контейнер метода расчета", в который входит данный блок. Остальные значения позволяют задавать способ расчёта для блока вне зависимости от свойств контура.
За положительное направление тока принято направление от порта "1" к порту "2".
Порты
- 1 - порт электрической связи;
- 2 - порт электрической связи.
Входные порты
Блок не имеет входных портов.
Выходные порты
Блок не имеет выходных портов.
Свойства
- Вид цепи - может принимать следующие значения:
- "R" - активное сопротивление;
- "L" – индуктивность;
- "С" – ёмкость;
- "R-L" – последовательное соединение R и L;
- "R-C" - последовательное соединение R и C;
- "L-C" - последовательное соединение L и С;
- "R-L-C" - последовательное соединение R, L и C;
- "R//L" - параллельное соединение R и L;
- "R//C" - параллельное соединение R и C;
- "L//C" - параллельное соединение L и C;
- "R//L//C" - параллельное соединение R, L и C
- Сопротивление, Ом;
- Индуктивность, Гн;
- Ёмкость, Ф;
Дополнительные:
- Показывать вид цепи;
- Цвет - устанавливает цвет условного графического отображения блока;
- Шрифт - устанавливает шрифт условного графического отображения блока;
- Метод расчета.
Параметры
- Ток комплексный (rms), A*;
- Ток (rms/inst), A**.
* Отображает значение в комплексной форме при расчёте в комплексных числах; величина параметра равна нулю при расчете в мгновенных значениях.
** Отображает действующее значение при расчёте в комплексных числах; мгновенное значение при расчёте в мгновенных значениях.

