ЭЦС - Нагрузка статическая (P+jQ, CXH) управляемая
![]() |
![]() |
|Си| |
| в палитре | на схеме |
Блок реализует модель однофазной статической нагрузки, представляемой значениями активной и реактивной мощности, зависящими от напряжения. Используется совместно c элементами библиотеки "ЭЦ - Статика (ЭЦС) 2.0".



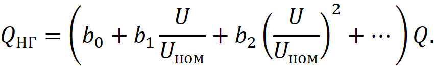
где Pmin и Qmin – мощности, определенные по СХН при напряжении равном минимальному.
Значения мощностей в выражениях СХН берутся из свойств блока "Номинальная активная мощность" и "Номинальная реактивная мощность" или могут быть заданы через порты P, Q, которые появляются при значении свойства "Задать мощности через порт" равным "Да".
Значение свойства "Частота" должно соответствовать частоте электрического контура. При необходимости, частоту можно задавать через порт f при значении свойства "Задать частоту через порт" равным "Да".
За положительное направление тока принято направление от порта "1" к порту "2".
Дополнительной опцией блока является возможность использования его для расчёта в мгновенных значениях.
Метод расчёта задается свойством "Метод расчета". При значении "Из настроек контейнера" будет использоваться метод, указанный в блоке "ЭЦС - Контейнер метода расчета", в который входит данный блок. Остальные значения позволяют задавать способ расчёта для блока вне зависимости от свойств контура.
Порты
- 1 – порт электрической связи;
- 2 – порт электрической связи;
Входные порты
- P – порт входа математической связи задания активной мощности в Вт;
- Q – порт входа математической связи задания реактивной мощности в вар;
- f – порт входа математической связи задания частоты, Гц.
Выходные порты
Блок не имеет выходных портов.
Свойства
- Номинальное напряжение (rms), В;
- Минимальное напряжение (rms), В;
- СХН активной мощности;
- СХН реактивной мощности;
- Номинальная активная мощность, кВт;
- Номинальная реактивная мощность, квар;
- Частота, Гц;
- Вид схемы замещения;
Дополнительные:
- Задать мощности через порт;
- Задать частоту через порт;
- Цвет – устанавливает цвет УГО блока;
- Шрифт – устанавливает шрифт текста УГО блока;
- Метод расчета.
Параметры
- Ток комплексный (rms), А*;
- Ток (rms/inst), А**;
- Напряжение комплексное (rms), В*;
- Напряжение (rms/inst), В**;
- Мощность активная, кВт***;
- Мощность реактивная, квар***;
- Мощность полная, кВА***.
*Отображает значение в комплексной форме при расчёте в комплексных числах; величина параметра равна нулю при расчёте в мгновенных значениях.
** Отображает действующее значение при расчёте в комплексных числах; мгновенное значение при расчёте в мгновенных значениях.
***Вычисляется только при расчете в комплексных числах.

