Диэлектрическая стержневая антенна
![]() |
![]() |
| Векторизован | Си | |
| в палитре | на схеме |
Описание
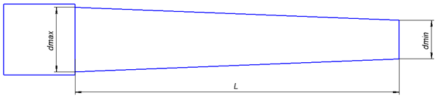
Блок задаёт параметры диэлектрической стержневой антенны конической формы (Рисунок 1) в виде массива данных, передаваемого
на выходной порт "dra".

Рис. 1. Диэлектрическая стержневая антенна конической формы.

Входные порты
Блок не имеет входных портов.
Выходные порты
| Имя | Описание | Тип линии связи |
|---|---|---|
| dra | Массив параметров диэлектрической стержневой антенны | Математическая |
Свойства
| Название | Имя | Описание | По умолчанию | Тип данных |
|---|---|---|---|---|
| Максимальный диаметр, м | dmax | Максимальное значение диаметра (вблизи основания) диэлектрической стержневой антенны | 0.017 | Вещественное |
| Минимальный диаметр, м | dmin | Минимальное значение диаметра (вблизи основания) диэлектрической стержневой антенны | 0.011 | Вещественное |
| Длина антенны, м | L | Расстояние от начала расширения питающего волновода до плоскости раскрыва | 0.12 | Вещественное |
| Относительная диэлектрическая проницаемость материала | eps | Относительная диэлектрическая проницаемость материала, из которого изготовлена антенна | 2 | Вещественное |
Параметры
Блок не имеет параметров.
Примеры
Литература
- Драбкин А.Л. Антенно-фидерные устройства / А.Л. Драбкин, В.Л.Зузенко, А.Г. Кислов, М.: Советское радио - 1974. - 536с.
- Айзенберг Г. З. и др. Антенны УКВ. Ч. 1,2. -М.: Связь, 1977. - 288 с.
- Orfanidis S. J. Electromagnetic Waves and Antennas [Электронный учебник] / S. J. Orfanidis . – Rutgers University, 2004 . – 798 p.

