Математическая модель гидравлического распределителя

В корпус с расточками вставлен цилиндрический золотник с тремя буртиками. В центральную проточку подается давление питания, а крайние соединены со сливом. Полости между буртиками золотника могут быть соединены с соответствующими полостями гидроцилиндра.
Кромки золотника образуют с расточками корпуса дросселирующие щели, площади которых зависят от смещения золотника.
Обзовем их в соответствии с названиями гидравлических линий:
ТА — соединяет полость А со сливом;
РА — соединяет полость Р с линией А;
РВ — соединяет полость Р с линией В;
ТВ — соединяет полость В со сливом.
Площади щелей f я обозначил соответствующими индексами.

Видно, что в нашем случае площади щелей РА и ТВ, ТА и РВ ведут себя попарно одинаково. Когда открыты щели РА и ТВ, щели ТА и РВ закрыты. И наоборот.


Видно, что при нулевом положении площади сливных кромок ТА и ТВ не равны нулю. При этом, напорные кромки открываются при ненулевом смещении золотника. Т. к. в нашем простейшем примере в корпусе одинаковые проточки, линии изменения площадей будут проходить с одинаковым наклоном.
Поставим новый блок Субмодель на схему и создадим модель изменения проходного сечения в зависимости от положения золотника.
В качестве тестового перемещения золотника будем использовать блок Линейный источник, выход которого вычисляется по формуле у = a + b×t .
Где t – время моделирования; если задать a = -1 и b = 0.2 то за 10 секунд модельного времени выход изменится от – 1 до 1.
Для моделирования сечения мы будем использовать блок Излом из закладки "Нелинейные". Чтобы не плодить кучу блоков, мы все 4 площади построим с использованием одного блока. Для этого воспользуемся тем, что практически все блоки в SimInTech являются векторными. Мы в свойствах блока вместо одного значения укажем вектор из 4 значений, соответствующих графику на рисунке выше.

Для того, чтобы получить 4 значения, нам на вход нужно подать также 4 числа. Используем блок-размножитель, чтобы из одного положения золотника сделать 4 (одинаковых) и подать их вектором в блок Излом.


Теперь осталось дело за малым — превратить конструктивную схему в расчетную и описать всё уравнениями.


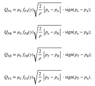
Ещё раз обращаю внимание, что раз уж мы направили все расходы в одном направлении, считать их нужно соответствующим образом. В последних двух уравнениях при вычислении перепада давлений мы вычитаем из давления слива давление в соответствующей полости. Знак расхода при этом определяется функцией sign. Таким образом, при нулевом давлении слива эти расходы практически никогда не будут положительными, но тем не менее мы направляем их именно так, чтобы при анализе не было путаницы. Теперь мы всегда будем знать, что если расход положителен, он направлен от источника питания к потребителю, если отрицателен — наоборот. Очень удобно!

Видно, что для каждого расхода нужно получить пару давлений и использовать площадь соответствующего зазора см. формулу *. А поскольку мы уже создали вектор расходов в зависимости от положения золотника, то логично его и использовать.
Добавляем на схему 4 блока Порт выхода, это будут порты для подключения гидравлических линий связи к камерам А и В и напорной линии P и T и один порт входа для задания положения золотника.

На выходе из блока излом у нас вектор из 4 площадей. Для расчета нам нужно подготовить вектора из давлений источников и давлений приемников, что бы мы могли сформировать разницу давления для расчета по формулам *.
Чтобы не рисовать множество линий мы воспользуемся блоками В память и Из памяти. Полученные давления мы запишем в переменные PA, PB, PT, PP блоки В память (см. Рис. 10).

Хотя мы и будем использовать блок-схему для расчета расходов, без языка программирования нам все равно не обойтись. В скрипте блока "Распределитель" мы подготовим константы и рассчитаем значения для интерполяции расходов.

Вместо того, чтобы рассчитывать на каждом шаге интегрирования расход, мы заранее на этапе инициализации, насчитываем набор расходов при заданном давлении от 0 до 300 бар, с шагом 1 бар (1е5 Па), и сохраним два вектора:
dP – перепады давления,
Qn – расходы соответствующие перепадам при полном открытии.
Для использование этих векторов на схеме мы применяем два блока Константа из закладки Источники. В блоках в свойствах значение указываем имена переменных dP и Qn, таким образом мы передадим на схему два вектора, который рассчитали в секции инициализации.
Теперь у нас все готово чтобы посчитать расход.

Модель блока распределителя работает так: вектор разницы давлений направляется в блок Абсолютное значение, потом на блок Интерполяция, в который подаются значения рассчитанные в секции инициализации вектора dP, Qn. По абсолютным значениям 4-х перепадов рассчитываются значения 4-х расходов при полном открытии, после этого происходит умножение на коэффициент соответствующий коэффициент открытия полученный после блока излом, а также умножается на значение Знак (положительное или отрицательное значение перепада).
На выходе мы получаем вектор из 4 расходов QPB, QTA, QTB, QPA.
Для получения результирующего расхода нужно сложить расходы, в индексах которых есть соответствующая буква (см. формулу *).
Опять-таки, чтобы не проводить множество линий связи, мы расходы записали в переменные (желтые блоки В память ). А на выходы забрали значения из блоков (зеленые блоки Из памяти).
Въедливый и занудный читатель увидит, что в нашей модели золотника мы ввели кучу серьезных допущений:
- Коэффициент расхода у нас постоянный, хотя, очевидно, что в реальности он будет зависеть не только от числа Рейнольдса, но и от направления движения жидкости. При движении из полости между буртиками золотника в сторону проточки (сливная щель), он будет меньше, а при движении обратно (наливная щель) он будет больше из-за влияния шейки золотника.
- Не учитывается микрогеометрия золотника. На самом деле, золотник неидеально прилегает к стенкам, а значит будут иметь место перетоки между полостями. Кроме того, кромки золотника не могут быть идеально острыми, а имеют радиус скругления, как правило, не меньше 4 мкм. Это тоже может существенно сказаться на точности моделирования.
- Здесь мы совсем не касаемся гидродинамической силы, хотя она может сказаться на динамике распределителя.
На самом деле, ничего страшного в этом нет.
Во-первых, данная модель может быть использована на ранних стадиях проектирования для выбора основных параметров гидропривода.
Во-вторых, эта модель запросто может быть дополнена всеми указанными эффектами.
Далее: Гидропривод с питанием от источника постоянного давления неограниченной мощности.