Математическая модель гидроцилиндра

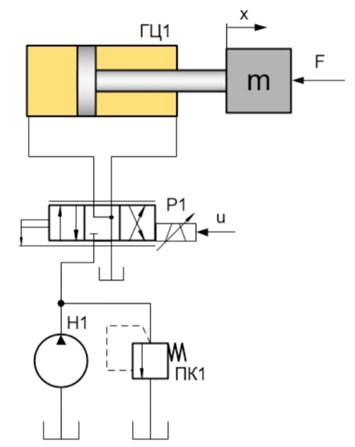
В нашем распоряжении имеется гидроцилиндр ГЦ1 с диаметром поршня 50 мм и диаметром штока 25 мм, который перемещает груз массой 500 кг и преодолевает силу F. Гидроцилиндр управляется распределителем Р1 с электрическим управлением. Центральная секция распределителя выполнена таким образом, что обе полости в нейтральном положении распределителя соединены со сливом. Площадь проходного сечения распределителя в полностью открытом положении — 7 мм2. В качестве источника энергии используется нерегулируемый объемный насос Н1 постоянной подачи 30 л/мин с переливным клапаном ПК1, настроенным на давление открытия 200 бар. Максимальное давление (при максимальном расходе через клапан) — 205 бар.
Наша задача — смоделировать эту систему, подергать распределитель и посмотреть, что будет происходить. Приступим!

Итоговая модель должна представлять из себя коробочку, из которой будет выходить перемещение поршня гидроцилиндра, а входить сила сопротивления и два расхода.
Да-да. На схеме так и отображено, что в обе полости расходы именно входят. Я в курсе, что такого на практике не может быть, но в этом случае нужно понимать, что мы создаем расчетную схему, а не иллюстрацию, а по расчетной схеме нам потом нужно будет писать математическую модель. В связи с этим гораздо удобнее направить оба расхода внутрь гидроцилиндра, а если в действительности расход будет направлен из цилиндра, просто сменится его знак. Вы ещё вспомните хорошими словами эту идею, когда мы будем стыковать гидроцилиндр и распределитель.

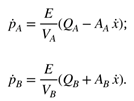
где:
m – масса плунжера;
a – ускорение;
pA, pB – давление в полостях;
AA, AB – площадь сечения для расчета силы;
Btr – коэффициент вязкого трения;
Fвн – внешняя сила.
В отличие от первого варианта, у нас исчезла сила жесткости пружины, но появилась внешняя сила, также сила вязкого трения – это сила трения в уплотнениях гидроцилиндра. Математическая модель трения в уплотнениях различных конструкций — отдельный большой разговор. Только об этом можно написать отдельную большую книгу. Однако, далеко не всегда для решения практических задач требуется подробное моделирование трения. Порой достаточно ввести линейную модель трения. Совет на будущее — если не знаете, какой коэффициент вязкого трения принять для гидроцилиндра, принимайте 5000 (Н·с)/м.

Обратите внимание, что геометрический расход в уравнении для полости А поставлен со знаком "минус", а в уравнении для полости B со знаком "плюс". Это связано с тем, что в случае отсутствия иных расходов, положительная скорость перемещения поршня будет вызывать уменьшение давления в полости A и увеличение давления в полости B. Напоминаю, что большинство ошибок в математических моделях связано именно с неправильной расстановкой знаков расходов!
Теперь у нас есть все что бы начать реализацию модели с учетом первого правила: решай задачу по частям. Мы сделаем модель гидроцилиндра в виде отдельного блока.