ЭЦС – Электропривод асинхронный нерегулируемый
![]() |
![]() |
|
| в палитре | на схеме |
Блок реализует модель асинхронного нерегулируемого электропривода. Предназначен для использования в трехфазных однолинейных электрических схемах в "контуре переменного тока".
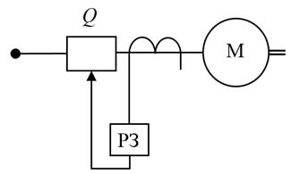
Расчетная схема
- выключатель;
- комплект релейной защиты электродвигателя;
- асинхронный электродвигатель.

Защиты моделируются внутри блока, только в случае, если свойство "Подключен к БД" равно "Нет". Если свойство "Подключен к БД" равно "Да", предполагается моделирование защит в отдельном листе "автоматики".
- трехступенчатая ненаправленная максимальная токовая защита (МТЗ) с независимой характеристикой и блокировкой работы по напряжению;
- защита минимального напряжения (ЗМН).
В зависимости от свойств можно использовать модель упрощенную, без учет электромагнитных процессов в электродвигателе (рисунок 2) или с учетом (рисунок 3). Скорости работы моделей будет разные, что важно в больших схемах для обеспечения вычислений в режиме реального времени.


- R1, X1 (L1) – активное и реактивное сопротивления (индуктивность) статора;
- X0 (L0) – реактивное сопротивления (индуктивность) намагничивания;
- R20, X20 (L20) – активное и реактивное сопротивления (индуктивность) ротора при скольжении равным нулю;
- R21, X21 (L21) – активное и реактивное сопротивления (индуктивность) ротора для заторможенного ротора.

где a – коэффициент степени моментной характеристики, который подбирается экспериментально. Если характер моментной характеристики не известен, то a можно принять равным 1. Если известно, что имеется минимум на характеристики или его отсутствие, то а следует незначительно изменить в большую или меньшую сторону.

В модели предусмотрена возможность задать момент сопротивления механизма через входной порт или базу данных таблицы БУД. Также можно использовать встроенные зависимости, задав коэффициент загрузки Kz и тип характеристики механизма (TypeMc):

если TypeMc = 0:

Уравнение движения ротора асинхронного двигателя представлено в виде (в относительных единицах):

где приведенные моменты отнесены к номинальному моменту:

а постоянная времени инерции определена через момент инерции:

В модели предусмотрена возможность задавать типовые виды отказов через БУД. Моделируются следующие виды отказа:
- самопроизвольное включение силового выключателя;
- самопроизвольное отключение силового выключателя;
- заклинивание вала насоса;
- проскальзывание вала насоса (можно задать жесткость отказа);
- кавитация (можно задать жесткость отказа);
- короткое замыкание (в цепи после выключателя).


Коэффициенты k1 и k2 определяются жесткостью отказа так, что при жесткости равной нулю – нет отказа, при жесткости равной 1 – обрыв вала. Промежуточные значения жесткости приблизительно соответствуют скорости вращения вала механизма.
Порты
- Питающее напряжение;
- Момент сопротивления механизма, о.е. (используется, если свойствам "Моделировать момент сопротивления" и "Момент (мощность) из БД" задано значение "нет", в противном случае используются встроенные функции момента сопротивления или берется из базы данных);
- Включен (1 – включен, 0 – отключен, при работе без БД).
- Частота вращения АД;
- Относительные обороты АД.
Свойства
- Имя объекта в таблице;
- Подключен к БД;
- Имя таблицы БД (справочное свойство);
- Тип электродвигателя;
- Номинальная мощность, кВт;
- Номинальное напряжение, кВ;
- Номинальный коэффициент мощности;
- Номинальный КПД, %;
- Номинальная частота вращения, об/мин;
- Кратность максимального момента, о.е.;
- Кратность пускового момента, о.е.;
- Кратность пускового тока, о.е.;
- Коэффициент степени моментной характеристики;
- Число пар полюсов;
- Момент инерции, кг·м2;
- Номинальная частота питающей сети, Гц;
- Частота питающей сети из БД (Да/Нет);
- Учитывать электромагнитные процессы (Да/Нет);
- Момент (мощность) из БД (Да/Нет);
- Моделировать момент сопротивления (Да/Нет);
- Коэффициент загрузки;
- Тип характеристики механизма;
- Начальный момент сопротивления, о.е.
Расчетные свойства для справки пользователю:
- Потребляемая полная номинальная мощность, кВА;
- Потребляемая активная номинальная мощность, кВт;
- Номинальный ток, А;
- Ток холостого хода, А;
- Пусковой ток, А;
- Имя измерителя.
Свойства параметров релейной защиты.
- МТЗ введена, [1ст, 2ст, 3ст], 0 –выведена, 1 -введена;
- Ток срабатывания МТЗ, [1ст, 2ст, 3ст], А;
- Выдержка времени МТЗ, [1ст, 2ст, 3ст], с;
- Блокировка по напряжению введена, [1ст, 2ст, 3ст], 0 –выведена, 1 -введена;
- Уставка блокировки по напряжению, кВ;
- ЗМН введена (Да/Нет);
- Напряжение срабатывания ЗМН, кВ;
- Выдержка времени ЗМН, с;
Свойства, относящиеся к МТЗ являются массивом из трех элементов. Каждый элемент содержит параметр 1, 2 или 3 ступени МТЗ соответственно.
Параметры
- Активная составляющая тока статора, А;
- Реактивная составляющая тока статора, А;
- Действующее значение тока статора, А;
- Активная мощность, кВт;
- Реактивная мощность, кВар;
- Полная мощность, кВА;
- Частота вращения, об/мин;
- Электромагнитный момент, о.е.;
- Признак отказа;
- Состояние выключателя.
Сопутствующие материалы
Материалов нет.

