ЭЦС - Источник напряжения 3-фазный (1 л. сх.)
![]() |
![]() |
|Си| |
| в палитре | на схеме |
Блок реализует модель трехфазного источника напряжения. Используется совместно c элементами библиотеки "ЭЦ - Статика (ЭЦС) 2.0".

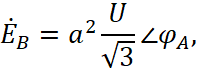
- Ea, Eb, Ec – ЭДС фаз источника;
- IвыхA, IвыхB, IвыхC – токи фаз источника напряжения, определяемые при расчете;
- Zист – сопротивление шунта источников тока;
- N – вывод нейтрали.
- EФ.re, EФ.im – действительные и мнимые составляющие ЭДС фаз источника;
- Rист, Xист – активное и реактивное сопротивления источника напряжения.
Характер внутреннего сопротивления источника изменяется в зависимости от значения свойства "Вид цепи сопротивления источника" ("R", "L", "R-L", "Идеальный источник"). При значении "Идеальный источник" Zист=0 и напряжение каждой фазы равно соответствующей ЭДС.
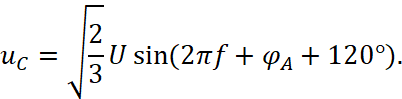
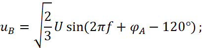
- U – напряжение (действующее линейное);
- φA – угол фазы А, заданные в свойствах блока, оператор α=1∠120°.
Частоту f, входящую в выражения можно задать через соответствующее свойство или порт.
Метод расчёта задается свойством "Метод расчета". При значении "Из настроек контейнера" будет использоваться метод, указанный в блоке "ЭЦС - Контейнер метода расчета", в который входит данный блок. Остальные значения позволяют задавать способ расчёта для блока вне зависимости от свойств контура.
За положительное направление токов принято направление от порта "N" к "1".
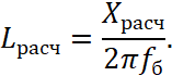
- IК – току трехфазного короткого замыкания, А;
- Uб – базисному напряжению, В;
- fб – базисной частоте, Гн;
- KX/R – отношению индуктивного и активного сопротивлений источника.
Для выполнения расчета необходимо поместить курсор в поле "Значение" свойства "Рассчитать параметры" и нажать на кнопку, появившуюся в правой части поля. Для использования расчетных значений при параметризации блока нужно нажать кнопку свойства "Записать расчетные параметры в свойства".
-
мощность короткого замыкания в кВА:

- полное, активное и индуктивное сопротивления источника:

- индуктивность источника:

Порты
- 1 – порт трехфазной однолинейной электрической связи;
- N – порт электрической связи нейтрали источника (порт появляется при задании значения "Да" свойству "Вывод нейтрали").
Входные порты
- Ure, Uim – порты входа математической связи управления значениями фазных ЭДС источника – действительная и мнимая составляющие соответственно (порты входа Ure, Uim появляются при задании значения "Да" свойству "Задать напряжение через порт");
- f–порт входа математической связи управления значением частоты напряжений источника. (порт входа f появляется при задании значения "Да" свойству "Задать частоту через порт").
Выходные порты
Блок не имеет выходных портов.
Свойства
- Напряжение (линейное, rms), В;
- Угол фазы А, эл.гр.;
- Частота, Гц;
- Действительная составляющая напряжения фазы А, В (расчетное значение для справки);
- Мнимая составляющая напряжения фазы А, В (расчетное значение для справки);
Сопротивление источника:
- Вид цепи сопротивления источника;
- Индуктивность, Гн;
- Активное сопротивление, Ом;
Дополнительные:
- Цвет – устанавливает цвет УГО блока;
- Шрифт – устанавливает шрифт текста УГО блока;
- Задать напряжение через порт;
- Задать частоту через порт;
- Метод расчета.
- Базисное напряжение (линейное rms), В;
- Базисная частота, Гц;
- Ток 3-ф. короткого замыкания, А;
- Отношение X/R;
- Расчетное активное сопротивление, Ом;
- Расчетное индуктивное сопротивление, Ом;
- Расчетная индуктивность, Гн;
- Расчетная мощность короткого замыкания, кВА;
- Рассчитать параметры;
- Записать расчетные параметры в свойства.
Параметры
- Ток комплексный [Ia, Ib, Ic] (rms), А*;
- Ток [Ia, Ib, Ic] (rms/inst), А**;
*Отображает значение в комплексной форме при расчёте в комплексных числах; величина параметра равна нулю при расчёте в мгновенных значениях.
** Отображает действующее значение при расчёте в комплексных числах; мгновенное значение при расчёте в мгновенных значениях

