ЭЦС - Источник тока 3-фазный (1 л. сх.)
![]() |
![]() |
|Си| |
| в палитре | на схеме |
Блок реализует модель трехфазного источника тока. Используется совместно c элементами библиотеки "ЭЦ - Статика (ЭЦС) 2.0".

- IsourceA, IsourceB, IsourceC – токи фаз источника;
- IA, IB, IC – заданный фазный ток (идеальные источники)
- Rshunt – сопротивление шунта источников тока;
- 0 – вывод нейтрали.
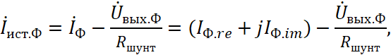
При расчете в комплексных числах частота источника соответствует частоте электрического контура и схеме замещения соответствует выражение (для каждой из фаз):
- IФ.re, IФ.im – действительные и мнимые составляющие фаз источника;
- Rshunt – сопротивление шунта источника тока.
Характер внутреннего сопротивления источника изменяется в зависимости от значения свойства "Вид цепи сопротивления источника" ("R", "Идеальный источник"). При значении "Идеальный источник" Rshunt → ∞и ток равен заданному.
При значении свойства блока "Задать ток через порт" равному "Да" у блока появляются два управляющих порта Ire и Iim и ток идеальных источников определяется управляющими сигналами. При этом сигналы формируются вектором:
При значении "Нет" ток идеальных источников определяется свойствами блока и описываются выражением:
- I – ток (действующее);
- φA – угол фазы А, заданный в свойствах блока, оператор α=1∠120°.
Дополнительной опцией блока является возможность использования его для расчёта в мгновенных значениях. В этом случае значение тока источника тока описывается уравнением (для каждой из фаз):
где I – ток, соответствующий заданному значению (из свойства или через порт Ire); uoutФ – напряжение на источнике, определяемое при расчете; Rshunt – сопротивление шунта источника тока (при значении свойства блока "Вид цепи сопротивления источника" равному "R").
При значении свойства блока "Задать ток через порт" равному "Нет" ток идеальных источников определяется следующим выражением:
При значении свойства блока "Задать ток через порт" равному "Да" ток идеальных источников определяется по выражению:
Метод расчёта задается свойством "Метод расчета". При значении "Из настроек контейнера" будет использоваться метод, указанный в блоке "ЭЦС - Контейнер метода расчета", в который входит данный блок. Остальные значения позволяют задавать способ расчёта для блока вне зависимости от свойств контура.
За положительное направление токов принято направление от порта "0" к "1".
Порты
- 1 – порт трехфазной однолинейной электрической связи;
- N – порт электрической связи нейтрали источника (порт появляется при задании значения "Да" свойству "Вывод нейтрали").
Входные порты
- Ire, Iim – порты входа математической связи управления значениями тока – действительная и мнимая составляющие соответственно (порты входа Ire, Iim появляются при задании значения "Да" свойству "Задать напряжение через порт");
- f – порт входа математической связи управления значением частоты тока. (порт входа f появляется при задании значения "Да" свойству "Задать частоту через порт").
Выходные порты
Блок не имеет выходных портов.
Свойства
- Ток (rms), А;
- Угол фазы А, эл.гр.;
- Частота, Гц;
- Действительная составляющая тока фазы A, А (расчетное значение для справки);
- Мнимая составляющая тока фазы A, А (расчетное значение для справки);
Сопротивление источника:
- Вид цепи сопротивления источника;
- Сопротивление, Ом;
Дополнительные:
- Вывод нейтрали;
- Задать ток через порт;
- Задать частоту через порт;
- Цвет – устанавливает цвет УГО блока;
- Шрифт – устанавливает шрифт текста УГО блока;
- Метод расчета.
Параметры
- Ток комплексный [Ia, Ib, Ic] (rms), А*;
- Ток [Ia, Ib, Ic] (rms/inst), А**;
*Отображает значение в комплексной форме при расчёте в комплексных числах; величина параметра равна нулю при расчёте в мгновенных значениях.
** Отображает действующее значение при расчёте в комплексных числах; мгновенное значение при расчёте в мгновенных значениях.

