ЭЦС - Генератор синхронный 3-фазный (1 л.сх.)
![]() |
![]() |
|Си| |
| в палитре | на схеме |
Блок реализует модель синхронного трехфазного генератора. Используется совместно c элементами библиотеки "ЭЦ - Статика (ЭЦС) 2.0".
В основе модели синхронного генератора лежат упрощенные уравнения Парка-Горева, позволяющие рассчитывать электромагнитные и электромеханические переходные процессы с учетом изменения периодической составляющей тока генератора.
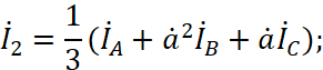
Модель генератора представляет собой трехлинейную систему управляемых ЭДС ĖА, ĖB, ĖC за сверхпереходным сопротивлением x''dи активным сопротивлением статора генератора Rст. Входными параметрами для расчета значений ЭДС ĖА, ĖB, ĖC являются фазные токи генератора İA, İB, İC. Расчеты выполняются независимо для каждой последовательности токов и ЭДС, причем для прямой последовательности решаются уравнения Парка-Горева в dq координатах. Вследствие этого токи и ЭДС проходят многократные преобразования между системами "ABC", "12" и "dq".



где ȧ – оператор поворота равный ej120.




- Id, Iq – токи статора генератора в dq координатах;
- Ė1 – ЭДС прямой последовательности статора генератора в фазе А;
- E''d, E''q – сверхпереходные ЭДС генератора в dq координатах;
- δг – угол положения ротора.




Переход от именованных единиц к относительным единицам для тока осуществляется делением на номинальный ток генератора, обратный переход к именованным единицам для ЭДС умножением на номинальное напряжение генератора.


В модели генератора учитывается по одному демпферному контуру по каждой оси.
Характеристика холостого хода учитывается если свойству "Учитывать характеристику XX" присвоено значение "Да".

где Vunsat – напряжение статора генератора без учета насыщения (в относительных единицах численно равно току возбуждения генератора IFD), Vsаt – напряжение генератора в соответствии с характеристикой холостого хода.


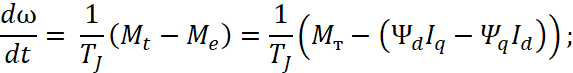
где ω – относительная скорость вращения ротора генератора; δг – угол положения ротора, Tj – постоянная инерции турбоагрегата, Mt – момент турбины; Me – электромагнитный момент; ω0 – синхронная угловая частота вращения.




При значении свойства "Единицы измерения параметров, выводимых с порта" равному "относительные", параметры выводятся в относительных единицах при базисных условиях. При значении этого свойства равному "именованные", параметры выводятся в единицах СИ.
Дополнительной опцией блока является возможность использования его для расчёта в мгновенных значениях (для информации о расчете по мгновенным значениям см. блок "ЭЦД - Генератор синхронный (1 л. сх.)").
Метод расчёта задается свойством "Метод расчета". При значении "Из настроек контейнера" будет использоваться метод, указанный в блоке "ЭЦС - Контейнер метода расчета", в который входит данный блок. Остальные значения позволяют задавать способ расчёта для блока вне зависимости от свойств контура.
Порты
- 1 – порт трехфазной однолинейной электрической связи.
Входные порты
- SE – порт входа многоканальной связи с системой возбуждения;
- T – порт входа многоканальной связи с турбиной.
Выходные порты
- P_out – порт выхода для получения параметров генератора.
Свойства
Номинальные данные:
- Тип;
- Номинальная активная мощность, кВт;
- Номинальное напряжение, В;
- Номинальный коэффициент мощности, о.е.;
- Номинальная частота, Гц;
- Номинальная частота вращения, об/мин;
- Механическая постоянная времени турбоагрегата, с;
Параметры модели:
- Сопротивления обмотки статора [Хs, Rs, X2], о.е.;
- Индуктивные сопротивления по продольной оси [Xd, X'd, X''d], о.е.;
- Индуктивные сопротивления по поперечной оси [Xq, X''q], о.е.;
- Сопротивление обмотки возбуждения, Ом;
- Постоянные времени при разомкнутой обмотке статора [T'd0, T''d0, T''q0], с;
Характеристика холостого хода:
- Ток возбуждения холостого хода, А;
- Учитывать характеристику ХХ;
- Ток возбуждения (массив), о.е.;
- Напряжение на выводах генератора (массив), о.е.;
Начальные условия:
- Начальная скорость вращения, о.е.;
Дополнительные:
- Брать с первичного двигателя;
- Единицы измерения параметров, выводимых с порта;
- Цвет – устанавливает цвет УГО блока;
- Шрифт – устанавливает шрифт текста УГО блока;
- Метод расчета.
Параметры
- Напряжение генератора, В;
- Ток генератора, А;
- Мощность активная, кВт;
- Мощность реактивная, квар;
- Мощность полная, кВА;
- Коэффициент мощности;
- Напряжение возбуждения, В;
- Ток возбуждения, А;
- Скорость вращения ротора, об/мин.

