ЭЦС - Двигатель асинхронный 3-фазный (VBR-модель, 1 л. сх.)
![]() |
![]() |
|Си| |
| в палитре | на схеме |
Блок реализует модель трехфазного асинхронного двигателя. Используется совместно c элементами библиотеки "ЭЦ - Статика (ЭЦС) 2.0".

В данной модели статор машины представлен в виде трехфазной цепи, каждая фаза которой состоит их управляемого источника напряжения и RL-ветви, а модель ротора при этом вынесена из электрической цепи.
Преимуществом VBR-модели является то, что она обеспечивает устойчивость расчёта при отключении двигателя от источника, в то время как для модели в dq-координатах требуется подключение снаббера (R или RC-ветвь) и/или существенное уменьшение шага интегрирования.








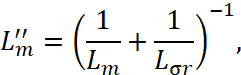
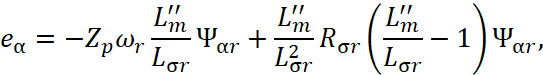
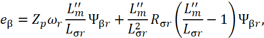
- Rs, Rr – активные сопротивления статора и ротора;
- Lσs, Lσr – индуктивности рассеяния статора и ротора;
- Lm – индуктивность цепи намагничивания;
- uαs, iαs, Ψαs – проекции напряжения, тока и потокосцепления статора на ось α;
- uαr, iαr, Ψαr – проекции напряжения, тока и потокосцепления ротора на ось α;
- uβs, iβs, Ψβs – проекции напряжения, тока и потокосцепления статора на ось β;
- uβr, iβr, Ψβr – проекции напряжения, тока и потокосцепления ротора на ось β;
- Ψαm, Ψβm– проекции потокосцепления намагничивания на оси α и β;
- ωr – угловая частота вращения ротора;
- Zp – число пар полюсов;
- Te – электромагнитный момент.

- Tm – момент сопротивления;
- J – момент инерции;
- F – коэффициент вязкого трения.
В модели АД учитывается эффект вытеснения тока в обмотке ротора. Насыщение и потери в стали не учитываются. Ротор – короткозамкнутый. Все величины и параметры АД приведены к статору.
В блоке предусмотрена возможность расчета параметров схемы замещения по каталожным данным АД. Для этого необходимо переместить курсор в поле "Значение" свойства "Рассчитать параметры схемы замещения" и нажать появившуюся кнопку.
Для записи рассчитанных значений в свойства модели необходимо нажать кнопку свойства "Записать расчетные параметры в свойства".
По каталожным данным предварительно определяют следующие параметры:
- Rs, Xσs – активное и реактивное сопротивления статора;
- Xm – реактивное сопротивления намагничивания;
- Rr0, Xr0 – активное и реактивное сопротивления ротора при скольжении равным нулю;
- Rr1, Xr1 – активное и реактивное сопротивления ротора для заторможенного ротора.
Для определения параметров сделано допущение, что Rs = Rr0 и Xs = Xr0. Данное предположение справедливо для большинства асинхронных двигателей, исключение могут составлять двигатели малой мощности напряжением 0,4 кВ. Методика расчета подробно изложена в [1].

где a– коэффициент степени моментной характеристики, который подбирается экспериментально.
Если характер моментной характеристики не известен, то aможно принять равным 1. Если известно, что имеется минимум на характеристики или его отсутствие, то а следует незначительно изменить в большую или меньшую сторону.
Момент сопротивления на входном порте Tm задается в относительных единицах, приведенным к номинальному моменту АД.
На порт выхода P_out выводится вектор значений параметров АД. Первый элемент вектора – ωr скорость, р/с, второй – Te электромагнитный момент, о.е.
Значение свойства "Частота" должно соответствовать частоте питающей сети. При необходимости, частоту можно задавать через порт входа f при значении свойства "Задать частоту через порт" равным "Да".
Дополнительной опцией блока является возможность использования его для расчёта в мгновенных значениях.
Метод расчёта задается свойством "Метод расчета". При значении "Из настроек контейнера" будет использоваться метод, указанный в блоке "ЭЦС - Контейнер метода расчета", в который входит данный блок. Остальные значения позволяют задавать способ расчёта для блока вне зависимости от свойств контура.
Порты
- 1 – порт трехфазной однолинейной электрической связи.
Входные порты
- Tm – порт входа математической связи задания момента сопротивления в о.е.;
- f – порт входа математической связи задания частоты питающей сети. (порт появляется при задании значения "Да" свойству "Задать частоту через порт").
Выходные порты
- P_out – порт выхода для получения параметров АД.
Свойства
Номинальные:
- Тип;
- Номинальная мощность, кВт;
- Номинальное напряжение, В;
- Номинальная частота питающей сети, Гц;
- Номинальная частота вращения, об/мин;
- Число пар полюсов;
- Момент инерции, кг·м2;
- Номинальный момент, Н·м – расчетное значение для справки;
Схема замещения:
- Сопротивления статора [Хls, Rs], Ом – параметры схемы замещения;
- Сопротивление намагничивания [Хm], Ом – параметры схемы замещения;
- Сопротивление ротора при s = 0 [Хlr0, Rr0], Ом – параметры схемы замещения;
- Сопротивление ротора при s = 1 [Хlr1, Rr1], Ом – параметры схемы замещения;
Расчет параметров схемы замещения:
- Номинальный коэффициент мощности (Cosf);
- Номинальный КПД, %;
- Кратность максимального момента, о.е.;
- Кратность пускового момента, о.е.;
- Кратность пускового тока, о.е.;
- Коэффициент степени моментной характеристики;
- Рассчитать параметры схемы замещения;
- Записать расчетные параметры в свойства;
- Сопротивления статора [Хls, Rs], Ом – расчетные значения;
- Сопротивление намагничивания [Хm] – расчетные значения, Ом;
- Сопротивление ротора при s = 0 [Хlr0, Rr0] – расчетные значения, Ом;
- Сопротивление ротора при s = 1 [Хlr1, Rr1] – расчетные значения, Ом.
Дополнительные:
- Блокировать отрицательную скорость вращения ротора;
- Коэффициент вязкого трения, о.е.;
- Частота, Гц;
- Задать частоту через порт;
- Цвет;
- Шрифт;
- Метод расчета.
Параметры
- Частота вращения, об/мин.;
- Электромагнитный момент, о.е.
Литература
1. Сыромятников И.А. Режимы работы асинхронных и синхронных двигателей/Под ред. Л.Г. Мамиконянца. – 4-е изд., переработ. и доп. – М.: Энергоатомиздат, 1984. – 240 с.

