Пример 1.66, 1.67
Описание демо-примера
Расположение
Demo\Теплогидравлика\Задачи из учебника\Пример 1.66 и 1.67\Пример 1.66 и 1.67.prt
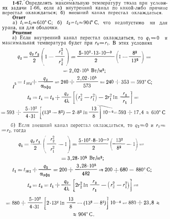
Условие задачи 1.66
Рассчитать распределение температуры в поперечном сечении тепловыделяющего элемента (твэл), имеющего форму длинного полого цилиндра с внутренним диаметром d1=26мм, выполненного из урана (λ=31Вт/(м∙°С)). Обе поверхности тела покрыты плотно прилегающими оболочками из нержавеющей стали (λоб=21Вт/(м∙°С)), толщиной δ=0,5мм. Объемную плотность тепловыделения в уране принять равномерной по сечению и равной qv=5∙107Вт/м3.
Твэл охлаждается двуокисью углерода (CO2), движущейся по внутреннему и внешнему каналам. Среднемассовая температура CO2 во внутреннем канале tж1=200°С и во внешнем канале tж2=240°С. Коэффициенты теплоотдачи от поверхностей оболочек к газу соответственно равны α1=520Вт/(м2∙°С) и α2=560Вт/(м2∙°С).
В результате расчета определить максимальную температуру твэл t0, температуры на поверхностях оболочек tc1 и tc2 и на поверхностях урана t1 и t2.


Решение: в коде HS задача решена при помощи цилиндрических толстых стенок, для некоторых из которых задано объемное энерговыделение, зазоров между стенками и тепловых граничных условий с заданной температурой и коэффициентом теплоотдачи.
Условие задачи 1.67
- внутренний канал по какой-либо причине перестал охлаждаться;
- внешний канал перестал охлаждаться.

Решение: в коде HS задача решена в двух вариантах (а и б) при помощи цилиндрических толстых стенок, для некоторых из которых задано объемное энерговыделение, зазоров между стенками и тепловых граничных условий с заданной температурой и коэффициентом теплоотдачи. При отсутствии охлаждения, граничное условие с соответствующей стороны стенки не задается.